本文采用六西格玛管理理论中的DMAIC方法,对保障房项目的设计流程进行分析与优化。
一、基于六西格玛管理理论的流程优化方法
六西格玛是一套系统的业务改进方法体系,旨在持续改进企业的流程和绩效。它将改进流程、问题分析、持续完善等过程系统化和集成化,对现有的流程进行优化,对需要改进的流程进行分析,流程中若出现不必要或存在缺陷的环节,则可以删减或者对有缺陷的环节进行更改,实施改进并跟踪控制。流程优化遵循五阶段循环改进法,即DMAIC模式(见图1)。

(一)界定阶段(Define)是六西格玛DMAIC改进过程的第一步,它是确定标准、寻找和明确问题的一个过程。
(二)测量阶段(Measure)是工作的关键环节,是以事实和数据为依据进行管理,能进一步明确问题和缺陷,找到关键原因并制定改进目标。
(三)分析阶段(Analyze)侧重于对过程和问题的理解,进而识别问题的原因,寻找问题所在的根源。
(四)改进阶段(Improve)是在分析问题实质的基础上,改善问题以逐渐建立最佳实施方案。
(五)控制阶段(Control)是项目团队维持改进结果的重要步骤,通过制定文档,记录更改等形式进行有效跟踪,并建立过程控制体系。
二、基于六西格玛管理方法的保障房项目设计流程优化
(一)界定阶段
1、一般房地产项目设计流程
一般情况下,房地产开发项目的设计流程主要包括立项、设计单位的选择、方案设计、初步设计、扩初设计、施工图设计以及相关政府部门的审批等,如图2所示。

2、保障房项目设计流程的目标界定
通过对保障房设计流程进行资料收集和分析,确定改进目标:
(1)保障房具有保障性而不具有营利性,它是为特殊人群供给的住房保障,这也使得保障房在我国城镇住房建设中具有较为特殊的性质。一方面,在满足前期准备工作的前提下,政府部门对于保障房的批复如立项批复、建设用地许可、规划部门、消防人防等程序,不像一般开发项目的审批流程一样需要较长的时间;另一方面,通过分析整个规划设计阶段流程图,发现工序显得冗长繁多。经过调查分析得出,很多工序是可以同时进行或者通过改进工序之间的逻辑关系达到优化目的。因此,政府各个部门的相关批复以及设计工作之间的逻辑关系可以作为优化目标。
(2)房地产开发项目设计流程中每个工序的持续时间直接影响总工期和关键线路,同时工序的提前完成还可将大量人力、物力更早地投入到其他工序中,因此工序的持续时间也是一个优化目标。
(二)测量阶段
根据问题界定中的结果,确定影响该问题的关键因素,对设计流程进行分析,并对冗余及重复的环节进行整理。在实际操作中以下大部分工序工期都比较长,如果能够穿插并行,可以大幅度减少总工期和总成本,因此要对这些因素进行分析验证:
(1)规划设计方案图纸设计能否与申请建设用地规划许可证同时进行。
(2)消防人防部门批复、国有土地使用权和工程地质勘查的申请工作能否同时进行。
(3)在工程地质勘查结束前能否开始初步设计工作。
(4)扩初设计和初步设计工作能否同时进行。
(5)能否在获得相关部门对扩初设计的批复前,将施工图设计工作模块化开展。
(6)施工图纸经相关部门审批前是否能够开始招投标相关准备工作。
(7)规划领照和领取施工图纸审查合格证是否可以同时进行。
(三)分析与改进阶段
1、工序之间逻辑关系的分析与改进
在得到初步的测量分析结论后,要详细研究分析资料和数据,熟悉问题和过程,识别问题产生的真正原因,找到根源,以便彻底解决问题。
(1)保障性住房的特殊性使得在项目立项阶段就可获得规划要点和用地红线,因此在选择设计单位之后进行申请建设用地规划许可证的同时,就可以开展规划方案的图纸设计。
(2)保障房项目属于“问责工程”,也是重大民生工程,政府部门对于保障房的建设都会给予积极支持,在满足相关要求的前提下,相关部门的批复一般情况下不会对后期工作有影响。因此,在申请办理消防、人防、教育部门的批复以及申领国有土地使用权证的同时,就可以提前委托地质勘查单位进行工程地质勘查工作。
(3)建筑结构设计受地质勘查结果的影响,而有些初步设计工作如给排水、电气、景观、道路以及综合管线等方面的设计受地质条件的影响较小,因此可以在获得地质勘查报告之前提进行初步设计及综合管线设计工作。若在获得地质勘查报告后需要对设计作变动的,也只要作局部的调整即可。
(4)一般大型或综合型的工程项目设计中,在初步设计获得批准后需要进行扩大初步设计,对初步设计进行深入和细化,使甲方能比较准确的了解设计意图,为施工图设计做好准备。在保障性住房设计中,代建方通常会选择有良好合作关系、具有一定技术实力的设计单位承担设计任务,也会选择有经验的专业工程师负责具体的设计工作。在设计单位与代建方充分沟通的前提下,在经验丰富的工程师的技术力量保证下,可以跳过初步设计阶段,直接进行扩大初步设计。
(5)由于在扩初设计时严格按照规划要求进行,且充分保证了设计质量,因此扩初设计获得批准的把握性也大,可以在扩初设计报批的同时开始施工图设计,在扩初设计批复后再根据审查意见做针对性的调整。
(6)一般情况下,在招投标前首先施工图纸应获得批准,但规划、消防、人防及教育等部门对施工图纸的批复有一个周期,在此期间,可以提前做好招投标的前期准备工作,待施工图审批通过后立即开始后续招投标的工作。
(7)由于保障性住房项目的特殊性,只要在设计过程中严格遵守相关规定和要求,保证设计质量,后期的规划领照通常不会出现问题,因此可以在规划领照的同时办理施工图纸审查的工作。
通过以上对工序之间的改进得到新的设计流程,如图3所示。

2、六西格玛建造目标分析
六西格玛建造就是将六西格玛管理理论应用到建造行业,本文从设计单位的角度以六西格玛建造为目标对整个设计流程中的工序寻找优化对象。
(1)时间利用效率化。
在整个设计流程中,大部分的设计结果都需要相关部门的审查批复,而在这个等待的过程中,设计单位往往都无法进行下一步工作,如果充分利用这些等待时间可以大大提高设计单位的效率,因此如何缩短并有效利用这个等待时间成为整个设计流程的优化对象。
(2)价值最大化。
建设项目全寿命周期中项目的前期策划和设计阶段是最能将价值发挥到极致的阶段,因为设计阶段在控制项目后期施工以及价值的体现方面起到决定性作用。从业主角度出发,设计流程以及其工作成果都直接影响到后期施工的各个方面。而设计工作的价值主要体现在:①质量,即设计规划方案以及图纸能否满足设计任务书的全部要求,能否得到业主以及相关部门的批复;②工期,即完成任务交付审批的时间;③成本,即完成设计任务投入的费用。
(3)损失最小化。
在设计过程中难免会出现一些资源浪费现象包括安全至上的保守设计、大拆大建设计、盲目求新求异、设计返工等。因此在研究设计流程优化时要注意如何实现以较小的投入达到损失最小的效果。
3、工期和质量与成本的关系分析
(1)工期与成本的关系。
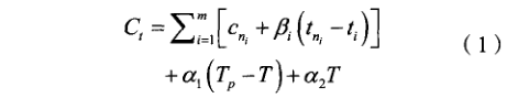
工期是由多个过程(工序)时间组成的,虽然这些过程并不能简单的叠加构成工程,但很多过程是可以并行的,本文采用式(1)进行工期与成本的分析:

式中,Ct表示总成本;T表示工期;Tp表示实际工期;m表示组成工期的工序数;cni表示i工序的直接成本(正常持续时间下);βi表示压缩i工序的持续时间后的费用增加率;tni表示i工序正常持续时间;ti表示i工序的实际时间;a1表示计算工期的奖罚系数(与计划工期相比);a2表示与计划工期有关的间接费用系数。
(2)质量与成本的关系。
关于质量成本的研究,美国著名质量管理专家朱兰博士提出了“最佳质量成本模型”,他认为当所有产品100%为良好品时,故障成本为0,预鉴成本趋于∞;当产品能达到一个符合性质量时,此时产品只能使用且故障成本趋近于∞,而预防和鉴定成本非常小;当所有产品的质量等级都趋近于0时,此时索性不予投入建设,对研究也没有意义。在实际工程中预鉴成本及故障成本是有限度的,假设预鉴成本最大值等于故障成本最大值,即不低于第k个工序的成本基本值Cb(k),按照上述模型和相关假设,对预鉴成本,采用正切函数模型来分析模拟,对故障成本,采用余切函数模型来分析模拟。质量成本模型如式(2):

式中,CQ(k)表示质量总成本;式中第一项表示预鉴成本,第二项表示故障成本;Cbk表示第K个工序的成本基本值;σ1和σ2分别是预鉴成本和故障成本在质量总承包中所占的比例;R(k)表示第k个工序的可靠度(即质量水平);ki(i=1,2)为成本增长系数,根据工程经验,为研究方便取k1=k2=1。
4、基于三大目标关系的工序环节优化
(1)可删减的工序优化。
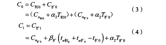
保障房有着政府的干预性和指导性,对于工期和质量有着严格的要求。业主单位往往会找资质高、经验丰富并有良好合作关系的伙伴单位进行设计合作,使得业主与设计单位的沟通更为密切,因此设计单位可以派有丰富经验的工程师与业主单位相关专业工程师进行对接,直接进行更加详细、深入的初步设计,即扩初设计。这样既保证了设计的质量也不会使成本额外增加,即在式(1)中取β扩=0,tn扩o=t扩o;根据上述条件得:

式中,C0为初步设计与扩初设计的总成本;C1为合并初步与扩初设计后的总成本;经比较发现C0>C1。另外,由于直接进行扩初设计是选用经验丰富的工程师,确保了设计结果的质量不会降低,因此质量对成本的影响可忽略。综上所述跳过初步设计而直接进行扩初设计使总成本降低,该方案可行。
(2)可压缩的工序优化。
由于相关部门的审批周期是不可控的,可考虑对设计环节进行适当的工期压缩,本文以施工图纸设计为例进行压缩。通过对一些设计单位的调查,根据以往的设计经验可知,施工图纸的设计时间具有可压缩性,这里通过成本、工期和质量三大目标之间的关系来验证压缩的合理性。
由式(1)可得成本与工期的关系:


通过上述验证,得出施工图设计阶段对工期进行压缩,总成本减少,该改进方案可行。同样,经过分析可知,对于整个设计工作流程中,处于关键线路上的扩初设计、环境设计等设计环节进行合理的工期压缩,都不会造成工期成本和质量成本的增加,因此都是可行的。
综上所述,以工序之间的逻辑关系作为优化对象进行流程优化,并对比优化前后的设计流程图,发现经优化后的设计流程变得既清晰明了,在时间、逻辑上也没有相互重叠的环节,有利于提高设计工作的效率;另外,以项目三大目标--工期、成本、质量关系的工序环节为优化目标,也得出相关环节的工期可以进行合理压缩,进一步提高设计效率。因此上述优化对于保障房项目设计流程的改进具有十分重要的意义。
(四)控制阶段
控制阶段是维持改进成效的重要步骤,一旦改进完成,就要对过程的实施情况进行监控。通过对保障房设计流程优化,将改进成果标准化,纳入管理文件,按照优化流程制定规划设计管理办法,建立相关奖惩制度;在优化的设计流程基础上,规范每一个流程,加强监督反馈,明确各个流程中的关键因素,保证流程优化体系的可持续性。
楼主最近还看过
[591]
[478]
[458]
[1686]
[641]
[733]
[451]
[517]
[1201]
[1677]

        
        客服
        
        
        
        小程序
        
        
        
        公众号