前言:本案例是一家光缆生产制造企业降低制造成本的精益六西格玛项目。
在激烈的市场竞争环境下,该企业的战略规划提出了降低制造成本的战略目标,在制造成本构成中,材料成本占比最大,因此希望降低这一成本。对于套塑工序(四大关键工序之一),其中的PBT材料费用是最主要的材料费用。为了降低材料费用,对于生产部门来讲,主要是降低单位长度产品的材料耗用量,在选择一个产品最大的产品型号后,确定了项目的CTQ为:套塑工序的单位套管长度的PBT材料耗用量。
对于套塑工序的半成品套管,示意图如下图所示(蓝色圆圈为套管/内部为着色后的光纤):

对于降低材料耗用量,主要是降低套管的壁厚。一般的考虑就是将项目Y设定为套管的壁厚,通过项目的测量、分析和改进降低壁厚的平均值,这样就可以降低材料的耗用。因此项目的Y为套管壁厚。
对于壁厚的测量,一般是在套管的截面选择四个等距的点测量厚度,然后计算平均值,作为某一个截面的壁厚,如图所示:

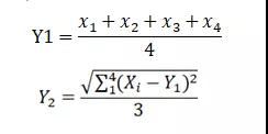
对于壁厚的某一个点的计算公式为:
![]()
如果仅仅降低壁厚,就有可能导致壁厚的平均值是降低了,但可能会出现由于套管一个截面的四个测试点的测量值不一致(“偏心”),导致套管的侧压测试不合格,这时尽管节省了材料,但不能满足客户对于套管的侧压的要求,这样不但不能解决问题,反而会造成客户的投诉,造成更大的问题。
通过对目前的套管的壁厚的测量(如下图),可以看出:

第一:平均值确实偏大,与规格中心不重合,有降低的空间;
第二:套管壁厚的波动比较大,这一点非常重要,因为,如果直接降低套管壁厚,就会出现更多套管的壁厚超过规格下限,会造成套管的侧压测试不合格,导致客户投诉。
因此项目的关键是如何降低套管壁厚的波动,只有在波动减低后,才能在保证客户对侧压的要求的情况下,将壁厚的平均值降低下来,这样就增加了一个项目的Y,即套管壁厚的标准差。
这样就得到项目的两个Y,即:

本项目在后续的项目开展过程中,针对两个小Y,分别分析其产生的根因,并实施改善,很好解决了套管的壁厚问题,有效的降低了成本,达成项目目标。
楼主最近还看过
[1124]
[840]
[446]
[668]
[1091]
[1686]
[532]
[1285]
[451]
[487]

客服
小程序
公众号