一个膜系的吸收率是一个可以计算的参数,它能与反射率和透射率一起作为二维和三维图的可选参数列出。此外,还有两个工具可以处理吸收率,它们隐藏在设计分析部分,即Absorptance Rate和Total Absorptance。这两个工具到底是做什么的?
吸收率是一种测量膜层损失能量的方法。严格地说,它应该是转化成热量的东西,但通常只把它作为反射光和透射光中所缺少的东西的一种度量。因为与真正的吸收相比,大多数其他的损耗通常都很小,而且由于它们和吸收一样,与电场振幅的平方成正比,所以任何差别都很小。不管怎样,大多数工程师都喜欢对总损失进行衡量。对于Essential Macleod而言,薄膜材料的消光系数就是与吸收相关的参数。它所代表的损失取决于它的测量方法。因此我们写了一个光学薄膜
1=R+T+A (1)
如果结果以百分比表示,则左侧变为100。这就是设计吸收率的计算方法。
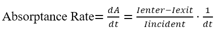
现在让我们考虑一层厚度为dt的薄层埋在膜层内。每单位面积薄层中的功率损失将是净入射辐照度(Ienter)和净出射辐照度(Iexit)之间的差值。这可以通过各种方式进行操作。
将入射到整个涂层上的辐射强度设为Iincidence,薄片的吸收率为dA,势吸收率为da。则
(2)
(3)
然后,膜层中的总吸收率简单地是(2)在膜厚度上的积分。
图1显示了使用具有无吸收低折射率材料(SiO2)和轻微吸收的高折射率材料(TiO2)薄膜的窄带滤光片的一些结果。电场分布的平方很好地解释了吸收率变化。势吸收率几乎相同,因为反射率为零,但膜层前面部分的吸收降低了分母上的Ienter的值,因此膜层后部的吸收率逐渐增加。
图1具有吸收高折射率材料和无吸收低折射率材料的窄带滤光片的计算。由于反射率为零,吸收率和势吸收率几乎相同。
楼主最近还看过
[737]
[234]
[49352]
[244]
[486]
[232]
[377]
[251]
[1331]
[276]

客服
小程序
公众号